巨力光電(北京)科技有限公司

李紹榮&郭小偉Solar RRL:突破20%!能帶-缺陷協同優化策略,助力sPbI?Br鈣鈦礦電池

發表時間:2025-09-17 10:39

標圖.png

主要內容

鈣鈦礦太陽能電池(PSCs)作為新一代光伏技術,因其高光電轉換效率、低成本和可溶液加工等優勢,受到了廣泛關注。其中,CsPbI?Br 作為一種全無機鈣鈦礦材料,憑借其出色的光熱穩定性和適宜的帶隙,在高效穩定鈣鈦礦太陽能電池領域展現出巨大的應用潛力。然而,在實際應用中,CsPbI?Br 鈣鈦礦太陽能電池面臨著界面處嚴重的能帶失配以及較高的界面和體相缺陷密度等問題,這些問題嚴重限制了器件性能的提升,成為制約其大規模商業化應用的關鍵瓶頸。基于此,電子科技大學李紹榮研究員、郭小偉研究員和劉曉東副教授帶領其團隊展開深入研究,旨在通過協同優化能帶排列和缺陷,突破 CsPbI?Br 鈣鈦礦太陽能電池的性能限制。


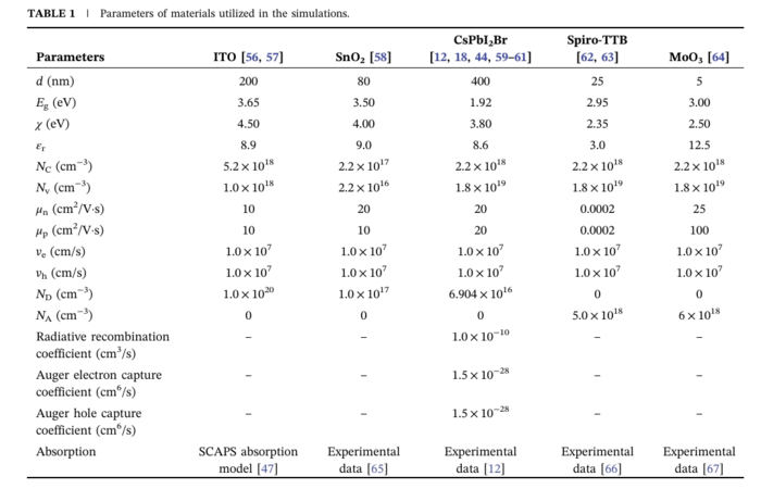
團隊采用 SCAPS - 1D 軟件對 CsPbI?Br 鈣鈦礦太陽能電池進行建模,并制定了一套系統的協同優化策略。考慮到電子傳輸層/鈣鈦礦(ETL/PVSK)界面和鈣鈦礦/空穴傳輸層(PVSK/HTL)界面是載流子傳輸的關鍵通道,而體相缺陷會影響載流子的擴散和復合,因此優化過程依次展開。


首先針對 ETL/PVSK 界面,通過調整材料參數和界面結構,優化能帶排列,減少界面處的載流子復合;接著對 PVSK/HTL 界面進行類似優化,確保空穴能夠高效傳輸;最后對 CsPbI?Br 層內的體相缺陷進行鈍化處理,降低載流子的非輻射復合損失。團隊系統地對 ETL/PVSK 和 PVSK/HTL 界面進行優化后,再優化體相缺陷,旨在**程度降低因缺陷和能帶排列失配導致的性能損失,并確定兩個界面的**能帶偏移量。


經過大量的模擬計算和參數優化,最終得到的**參數為:兩個界面(ETL/PVSK 和 PVSK/HTL)的能帶偏移量為 -0.3 eV,界面缺陷密度為 1.0×101? cm?2,體相缺陷密度為 1.0×1013 cm?3。優化后的器件性能顯著提升,實現了 1.544 V 的開路電壓(Voc)、15.00 mA/cm2的短路電流密度(JSC)、87.22%的填充因子(FF)以及 20.20%的光電轉換效率(PCE)。與初始器件(12.37%)相比,PCE 提升了約 63%。這一顯著提升主要得益于能帶排列的優化和缺陷密度的降低。優化后的能帶排列減少了載流子在界面處的復合,使得更多的載流子能夠參與到電流輸出中,從而提高了短路電流密度;而降低的缺陷密度減少了載流子的非輻射復合,提高了開路電壓和填充因子,最終實現了光電轉換效率的大幅提升。


機理研究表明,團隊發現能帶偏移量與缺陷密度之間存在著密切的相互作用關系,對載流子的傳輸和復合有著重要影響。在低界面缺陷密度下,**能帶偏移量變得更負。這是因為較負的能帶偏移量有利于形成更有利的能帶結構,促進載流子的提取,同時減少界面處的復合。而正的能帶偏移量會阻礙載流子傳輸,導致準費米能級分裂(QFLS)損失,且 ETL/PVSK 界面對這種損失機制尤為敏感。這是因為 ETL 的主要作用是傳輸電子,正的能帶偏移量會增加電子傳輸的勢壘,使電子在界面處積累,從而引發更多的復合。


至關重要的是,團隊還發現,在高缺陷密度條件下,較大的負能帶偏移量會放大界面缺陷的捕獲效應。缺陷會捕獲載流子,使其無法參與電流傳輸,而較大的負能帶偏移量會進一步增強這種捕獲作用,增加界面和體相復合。相反,在低缺陷密度條件下,較大的負偏移量僅引發極少的額外捕獲,反而有助于高效載流子提取,從而降低界面或體相復合。因此,低缺陷密度下的**能帶偏移量比高缺陷密度下所需的**偏移量更負。


總體而言,該團隊的研究表明**能帶偏移量取決于界面缺陷密度,為界面工程設計提供了寶貴見解。此外,研究結果強調,對能帶排列和缺陷鈍化進行協同優化對于充分釋放 CsPbI?Br 鈣鈦礦太陽能電池的潛力至關重要,為實現超過 20%的效率提供了理論指導,有望推動 CsPbI?Br 鈣鈦礦太陽能電池向實際應用邁進。


1.png2.png3.png4.png5.png6.png7.png8.png9.png10.png11.png表1.png表2.png表3.png表4.png表5.png表6.png表7.png

文獻信息

Synergistic Optimization of Band Alignment and Defects in CsPbI2Br Perovskite Solar Cells via SCAPS-1D Simulation: Achieving >20% Efficiency


Yizhou He, Yinuo Hou, Chi Zhang, Liming Jiang, Xiaowei Guo, Shaorong Li, Xiaodong Liu


https://onlinelibrary.wiley.com/doi/10.1002/solr.202500549

產品鏈接-太陽能電池PL成像系統.png產品鏈接-絕對ELPL量子產率測試系統.png產品鏈接-雙燈太陽光模擬器.png

- 產品咨詢及購買請聯系我們 -


分享到:
聯系郵箱 info@giantforce.cn
聯系電話
北京分機1:010-57103010
北京分機2:010-57299942
北京公司通訊地址:北京市通州區新華西街58號院萬達廣場B座1311
武漢公司通訊地址:武漢市洪山區關山街道虎泉街永利國際2714
|     京ICP備19048123號-1        ?2023 巨力光電(北京)科技有限公司 版權所有                   友情鏈接:化工儀器網      儀器信息網  
北京李經理
18911365393
北京劉經理
18911365396
武漢劉經理
18911365395
主站蜘蛛池模板: 阿巴嘎旗| 龙海市| 宁陕县| 虎林市| 台南县| 申扎县| 镇原县| 凤凰县| 灵川县| 黑河市| 盐源县| 武鸣县| 临沂市| 嘉荫县| 普宁市| 朔州市| 那坡县| 鹿泉市| 郁南县| 鄯善县| 永州市| 宣汉县| 铜川市| 安新县| 漳浦县| 宁武县| 汪清县| 大连市| 潮州市| 蚌埠市| 革吉县| 章丘市| 南宫市| 黔南| 普兰店市| 富顺县| 元谋县| 扶绥县| 邢台县| 开平市| 青田县|